• Предмет: Алгебра
  • Автор: lerinfog
  • Вопрос задан 3 года назад

Найдите решения пожалуйста

Приложения:

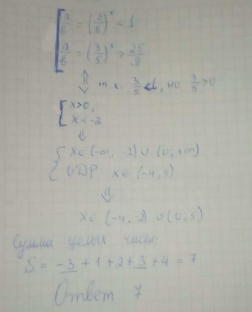
Ответы

Ответ дал: olga0olga76
0

ответ:

7

объяснение:

смотри прикреплённое изображение

Приложения:
Вас заинтересует