• Предмет: Математика
  • Автор: Аноним
  • Вопрос задан 3 года назад

помогите пожалуйста помогите пожалуйста​

Приложения:

Ответы

Ответ дал: aika963
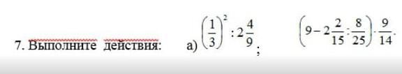
1

Ответ:

Пошаговое объяснение:

(1/3)^2:2 4/9=1/9: 22/9=9/198=1/22

(9-2 2/15:8/25)*9/14= 1 1/2

32/15:8/25=800/120=6 80/120= 6 2/3

9/1-6 2/3= 27/3-20/3=7/3

7/3*9/14=63/42=1 21/42= 1 1/2

Вас заинтересует