• Предмет: Математика
  • Автор: Biblks
  • Вопрос задан 3 года назад

1-e задание срочно очень ,пожалуйста помогите мне,заранее спасибо

Приложения:

Ответы

Ответ дал: Аноним
1

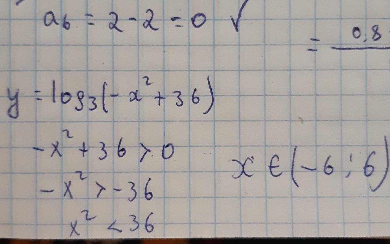
Ответ:

вот вам решение........

Приложения:
Вас заинтересует