• Предмет: Алгебра
  • Автор: dastu
  • Вопрос задан 3 года назад

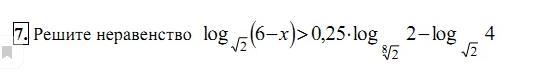
Решите, прошу, 11 класс

Приложения:

Ответы

Ответ дал: filuksistersp735lh
1

Ответ:

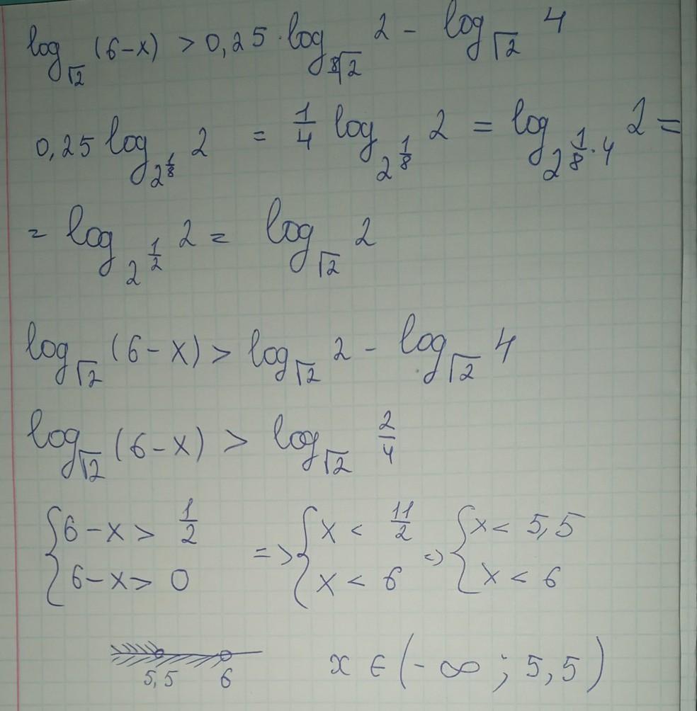
x∈( -  \infty ;5.5)

решение на фото

Приложения:
Ответ дал: tamarabernukho
1

Ответ:

Объяснение:

...............................

Приложения:
Вас заинтересует