• Предмет: Алгебра
  • Автор: ilyapetr3
  • Вопрос задан 3 года назад

Упростить выражение
А) 2х³ у²×3ху
Б) 2(х-у)-5(х+2у)
В)( - 2а³в²)³
Г)

Ответы

Ответ дал: nuriee2007
0

Ответ:

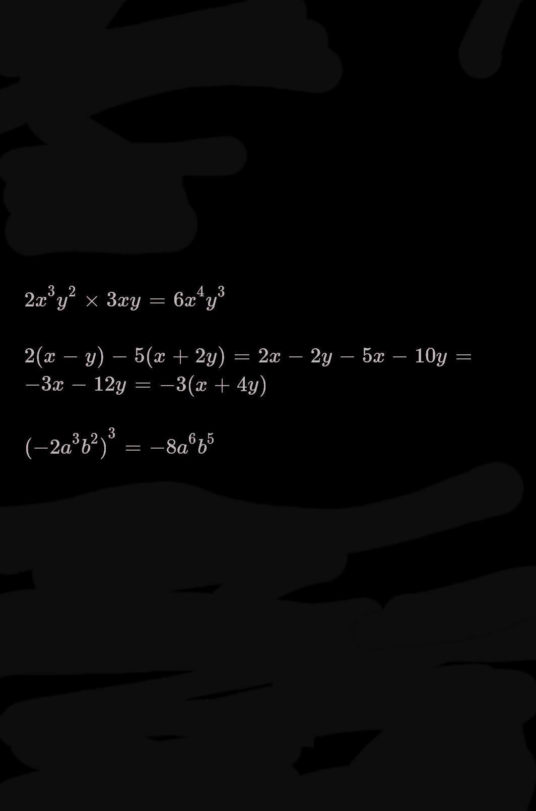
 {2x}^{3} {y}^{2}  \times 3xy = 6 {x}^{4} {y}^{3}

2(x - y) - 5(x + 2y) = 2x - 2y - 5x - 10y =  - 3x - 12y =  - 3(x + 4y)

  {( - 2 {a}^{3}  {b}^{2}) }^{3}  =  - 8 {a}^{6} {b}^{5}

Ответ дал: alinaigolkina5
0

Объяснение:

вот ответ во вложении

:) ..............................................

Приложения:
Вас заинтересует