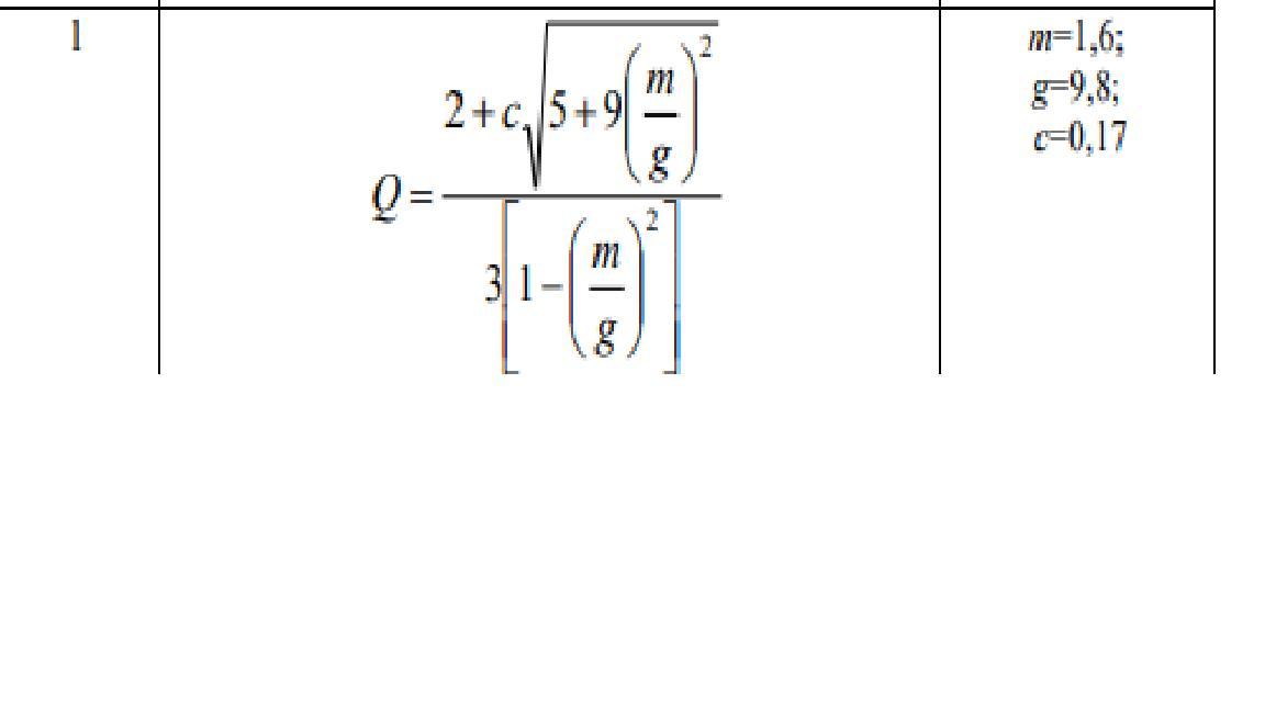
Помогите решить пример паскаль пожалуйста, в чём ошибка можете помочь прошу
Приложения:
restIess:
квадратные скобки вроде в паскале не ставятся для этого
а для чего ? и как правильно написать вообще
Ответы
Ответ дал:
0
Ответ:
1) "с(" а должно быть "c * (" . В математике опускается знак *, но паскаль этого не понимает и не должен.
2) Не знаю для чего в формуле квадратные скобки, но замените в коде их на обычные, круглые.
3) после замены квадратных скобок на круглые заменить "3(" на "3 * (" с.м. пункт 1.
Совет:
Добавить к "readln;" () - "readln()";
а что писать после Writeln; ? оно без него просит ввести данные какие то :с
так и пишешь же
writeLn(Q); readln();
writeLn(Q); readln();
writeLn(Q) ПЕРЕД readln(), а readln() ставится чтобы программа в консоли не закрывалась сама и она ждала ввода данных от пользователя. Т.к. у тебя PascalABC можно не писать readln() если тебе не нужен ввод данных, т.к. вывод сохраняется и так
Вас заинтересует
2 года назад
2 года назад
2 года назад
8 лет назад
9 лет назад