• Предмет: Математика
  • Автор: sergkrivos15
  • Вопрос задан 3 года назад

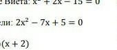
Разложите квадратный трехчлен на множители​

Приложения:

Ответы

Ответ дал: 1Ritmix1
0

Ответ: 2(х-1)(х-5/2)

Пошаговое объяснение:

Вас заинтересует