Вычислить значение функции Pascal

Приложения:

Ответы

Ответ дал: Аноним
1

Ответ:

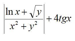
var x,y,s:real;

begin

 Readln(x,y);

 s:=abs((ln(x)+sqrt(y))/(sqr(x)+sqr(y)))+4*tan(x);

 write(s)

end.

Объяснение:

Вас заинтересует