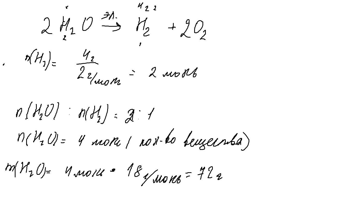
6. водород-топливо xxi века. его можно получить в лаборатории, отключив воду. Определите массу воды и количество вещества, необходимое для получения 4 г водорода.
Ответы
Ответ дал:
0
Ответ:
4, 72
Объяснение:
Приложения:

Вас заинтересует
2 года назад
2 года назад
7 лет назад
7 лет назад
9 лет назад