• Предмет: Математика
  • Автор: artmzimov01
  • Вопрос задан 3 года назад

Очень быстро!!!!!!!!!!!!!!!

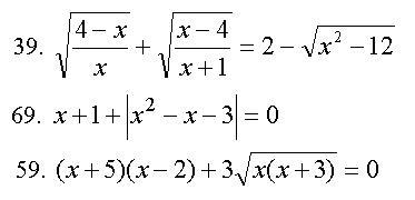
Приложения:

Ответы

Ответ дал: alihanzarkyn3
1

Ответ:

На 3 я незнаю. А вот 1 и 2 сделал.

Приложения:
Вас заинтересует