• Предмет: Математика
  • Автор: Palata6EEE
  • Вопрос задан 3 года назад

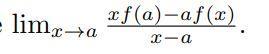
Посчитайте лимит
Подробно
Спасибо

Приложения:

arbududariga: условие не полное
Palata6EEE: это задание нам такое дали

Ответы

Ответ дал: cris2020
0

Ответ: Подробное пошаговое решение можно найти здесь)

Пошаговое объяснение:

https://doubtnut.com/question-answer/write-the-value-of-limx-rarr-axfa-afx-x-a-1449808

Надеюсь, что помогла)

Вас заинтересует