• Предмет: Математика
  • Автор: spwi56hj
  • Вопрос задан 3 года назад

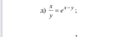
Задание: найти производную(фото прилагается). Заранее спасибо!

Приложения:

meology77: ..

Ответы

Ответ дал: natalyabryukhova
1

Ответ:

Пошаговое объяснение:

\frac{x}{y} =e^{x-y}\\\\\frac{1*y-x*y'}{y^2}=e^{x-y}*(1-y')\\\frac{1}{y}-\frac{x}{y^2} *y'-e^{x-y}+e^{x-y}*y'=0\\y'(e^{x-y}-\frac{x}{y^2} } )=e^{x-y}-\frac{1}{y} \\\\y'=\frac{e^{x-y}-\frac{1}{y} }{e^{x-y}-\frac{x}{y^2} } }

Вас заинтересует