• Предмет: Алгебра
  • Автор: KEK505
  • Вопрос задан 3 года назад

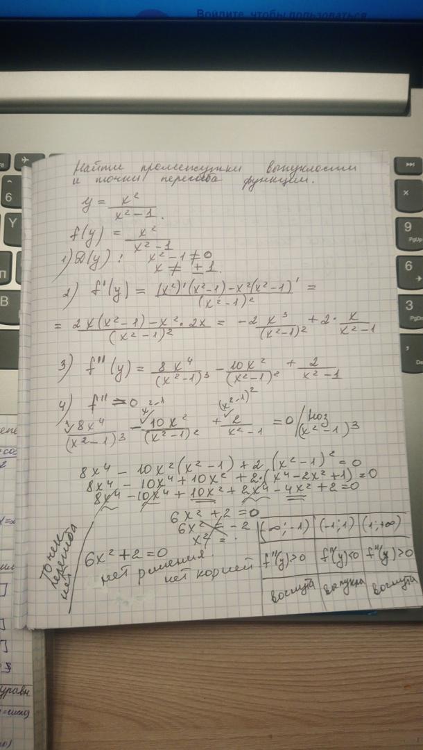
Найти промежутки выпуклости и точки перегиба функции y=\frac{x^{2}}{x^{2} -1}

Ответы

Ответ дал: ChimikinaFaina
1

Ответ:

Объяснение:

в первом пункте определены точки разрыва функции. Во втором взята первая производная. В третьем пункте взята вторая производная, а затем приравняли её к нулю.Решили, в ответе получилось отрицательное число, это значит что корней и решения нет.Точек перегиба нет.В таблице указано по второй производной на каких промежутках функция вогнута и выпукла.

Приложения:
Вас заинтересует