• Предмет: Математика
  • Автор: blablablaaaa191
  • Вопрос задан 3 года назад

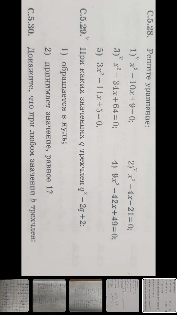
Помогите пожалуйста номер C.5.28
Через дискриминант

Приложения:

Ответы

Ответ дал: goodmenip
2

Відповідь:

1) x = 1;9

2)x = -3;7

3)x = 2;32

4)x = 2\frac{1}{3}

5)x = (11 - \sqrt{61})/6; (11 + \sqrt{61})/6

Покрокове пояснення:

1) x^2-10x+9=0

D = 100 - 4*9 = 64 = 8^2

x1 = (10 + 8)/2 = 9

x2= (10 - 8)/2 = 1

2) x^2-4x-21=0

D = 16 - 4*(-21) = 100 = 10^2

x1 = (4+10)/2 = 7

x2 =(4-10)/2 = -3

3) x^2-34x+64=0

D = 34*34 - 4*64 = 1156-256 = 900 = 30^2

x1 = (34 + 30)/2 = 32

x2= (34 - 30)/2 = 2

4)  9x^2-42x+49=0

D = 42*42 - 4*49*9 = 0

x1 = x2 = (42)/18 = 2\frac{1}{3}

5)  3x^2-11x+5 = 0

D = 121 - 4*5*3 = 61

x1 = (11 + \sqrt{61})/6

x1 = (11 - \sqrt{61})/6

Ответ дал: katya8567
2

Ответ:

1) x^2 - 10x+9=0

x^2 - x-9x+9=0

x(x-1)-9(x-1)=0

(x-1)×(x-9)=0

x-1=0

x-9=0

x1=1

x2=9

2) x^2 - 4x-21=0

x^2 +3x-7x-21=0

x(x+3)-7(x+3)=0

(x+3)×(x-7)=0

x+3=0

x-7=0

x1=-3

x2=7

3) x^2 - 34x+64=0

x^2 - 2x-32x+64=0

x(x-2)-32(x-2)=0

(x-2)×(x-32)=0

x-2=0

x-32=0

x1=2

x2=32

4) 9x^2 - 42x+49=0

(3x-7)^2 =0

3x-7=0

3x=7

x=7/3

5) 3x^2 - 11x+5=0

x=-(-11) ±корень из (-11)^2 - 4×3×5÷ 2×3

x=11±корень из 121-60/6

x=11±корень из 61/6

x1=11- корень из 61/6≈ 0,531625

х2=11+ корень из 61/6 ≈ 3,13504

Вас заинтересует