ОЧЕНЬ СРОЧНО 35 БАЛЛОВ С РЕШЕНИЕМ И ФОТО с рисунком
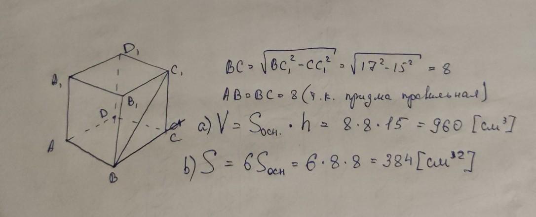
дана правильная четырехугольная призмa . Высота призмы 15 см, а диагональ боковой грани 17 см. Вычислить a) объем призмы b) площадь боковой поверхности
Ответы
Ответ дал:
0
Решение во вложении.........
Приложения:

Вас заинтересует
2 года назад
2 года назад
2 года назад
2 года назад
7 лет назад
9 лет назад