• Предмет: Математика
  • Автор: Аноним
  • Вопрос задан 3 года назад

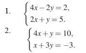
Задание 3. Решите графически системы линейных уравнений

Приложения:

Ответы

Ответ дал: pushpull
0

Ответ:

Пошаговое объяснение:

для первой системы решение

\left \{ {{x=1.5} \atop {y=2}} \right.

для второй системы

\left \{ {{x=3} \atop {y=-2}} \right.

графические решения прилагаются

Приложения:
Вас заинтересует