Ответы
Ответ дал:
1
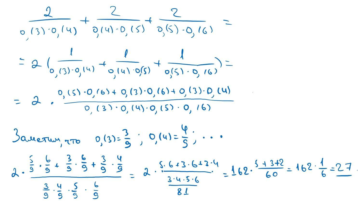
Ответ: c) 27.
Основная часть решения - замена периодических дробей на обыкновенные. Далее - простые упрощения.
Приложения:

Вас заинтересует
2 года назад
2 года назад
2 года назад
2 года назад
7 лет назад
9 лет назад