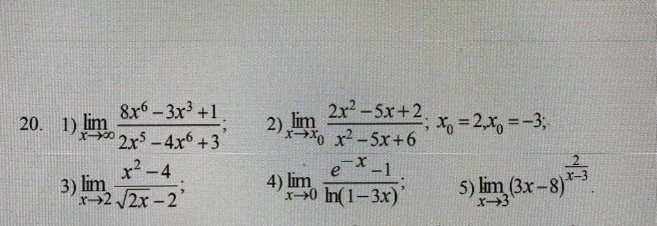
Найти пределы ( не пользуясь правилом Лопиталя)
На фото(20 вариант 4,5 пункт решить надо) очень срочно
Приложения:

Ответы
Ответ дал:
1
Ответ:
При решении 1 примера пользуемся правилом замены бесконечно малых величин на эквивалентные бесконечно малые . А при решении 2 примера пользуемся вторым замечательным пределом .
Вас заинтересует
2 года назад
2 года назад
2 года назад
2 года назад
7 лет назад