• Предмет: Алгебра
  • Автор: halidaparimbekovna
  • Вопрос задан 3 года назад

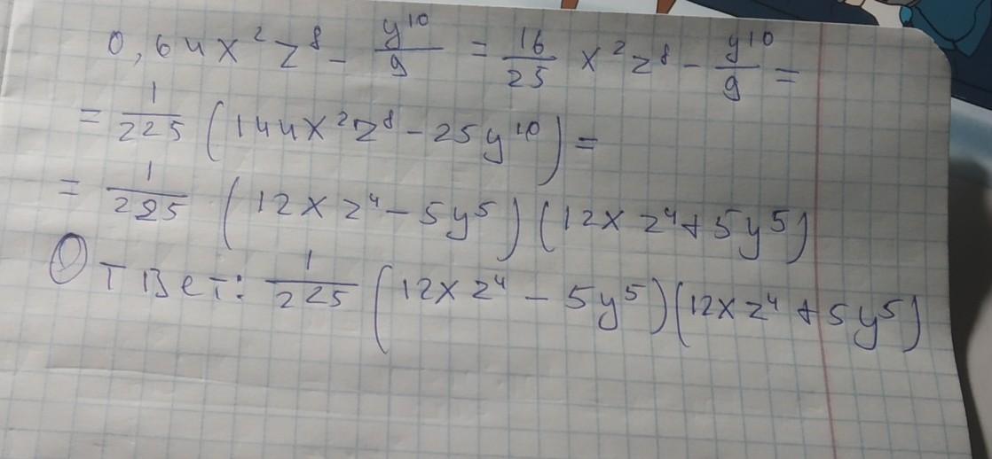
Представь выражение в виде произведения. Заполните пропуски. 0.64x^2z^8-y^10/9=​

Приложения:

Ответы

Ответ дал: alevtinakardash20
0

Ответ:

ответ и решение на ваше задание на фото

Приложения:
Вас заинтересует