• Предмет: Математика
  • Автор: kotogolisaya
  • Вопрос задан 3 года назад

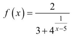
Помогите, пожалуйста. Найти точки разрыва функции и определить их характер:

Приложения:

Ответы

Ответ дал: mustaosmanov7
0

Пошаговое объяснение:

fx=2/2 я так думаю если не правилно извините

Вас заинтересует