• Предмет: Алгебра
  • Автор: СМЕРШ
  • Вопрос задан 10 лет назад

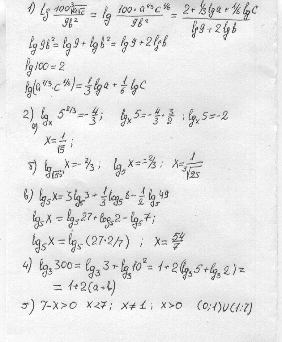
Решить всё кроме 3 задания!! ОБЯЗАТЕЛЬНО ФИКСИРОВАТЬ ВЕСЬ ХОД РЕШЕНИЯ!! 

1)Прологарифмируйте выражение по основанию 10

2)Найдите х

4)

5)

Приложения:

Ответы

Ответ дал: NNNLLL54
0
Смотри ответ во вложении  
Приложения:
Ответ дал: rskopov
0
                              Решение:


Смотри вложение:......


Приложения:
Вас заинтересует