• Предмет: Алгебра
  • Автор: sashavasilyk74
  • Вопрос задан 3 года назад

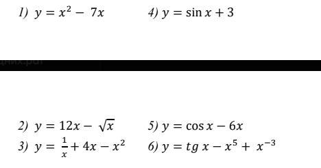
Найдите производную функции:
Даю 20 баллов

Приложения:

Ответы

Ответ дал: table123
1

Ответ:

Объяснение:

1) y'=2x -7

2) y'=12-1/ 2Vx (V -корень)

3) y'= -1/ x^2 +4 -2x  (^- знак степени)

4) y'=cosx

5) y'=-sinx -6

6) y'= 1/ cos^2 x -5x^4 -3x^-4

Ответ дал: NNNLLL54
0

1)\ \ y=x^2-7x\ \ ,\ \ y'=2x-7\\\\2)\ \ y=12x-\sqrt{x}\ \ ,\ \ \ y'=12-\dfrac{1}{2\sqrt{x}}\\\\3)\ \ y=\dfrac{1}{x}+4x-x^2\ \ ,\ \ \ y'=-\dfrac{1}{x^2}+4-2x\\\\4)\ \ y=sinx+3\ \ ,\ \ \ y'=cosx\\\\5)\ \ y=cosx-6x\ \ ,\ \ \ y'=-sinx-6\\\\6)\ \ y=tgx-x^5+x^{-3}\ \ ,\ \ \ y'=\dfrac{1}{cos^2x}-5x^4-3x^{-4}

Вас заинтересует