• Предмет: Математика
  • Автор: vsoql
  • Вопрос задан 3 года назад

доброго времени суток мои дорогие друзья! я не могу решить данные примеры. дам все баллы которые есть​

Приложения:

Ответы

Ответ дал: LLIKOJIbHI4EK
1

Ответ:

1) 3(x-2)=4x

3x - 6 = 4x

-x = 6

x = 6

2) 6(z-1) = 18

z - 1 = 3

z =3+1

z = 4

3) 5(y+3)=10

y + 3 = 2

y = 2 - 3

y = -1

4)3(2x-7)=9

6x - 21 = 9

6x = 30

x =5

5) -4(x - 2)= -6

-4x + 8=-6

-4x = -14

x = 3.5

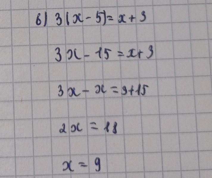
6)3(x-5)=x+3

3x - 15 = x+3

2x = 18

x = 9

Пошаговое объяснение:


LLIKOJIbHI4EK: сорри во 2) 6(z-1)=18 z-1 = 3 z =4
Ответ дал: vodafonealina
1

Пошаговое объяснение:

Приложения:

vsoql: Благодарю!
Вас заинтересует