• Предмет: Математика
  • Автор: Bogdan2008qwer
  • Вопрос задан 3 года назад

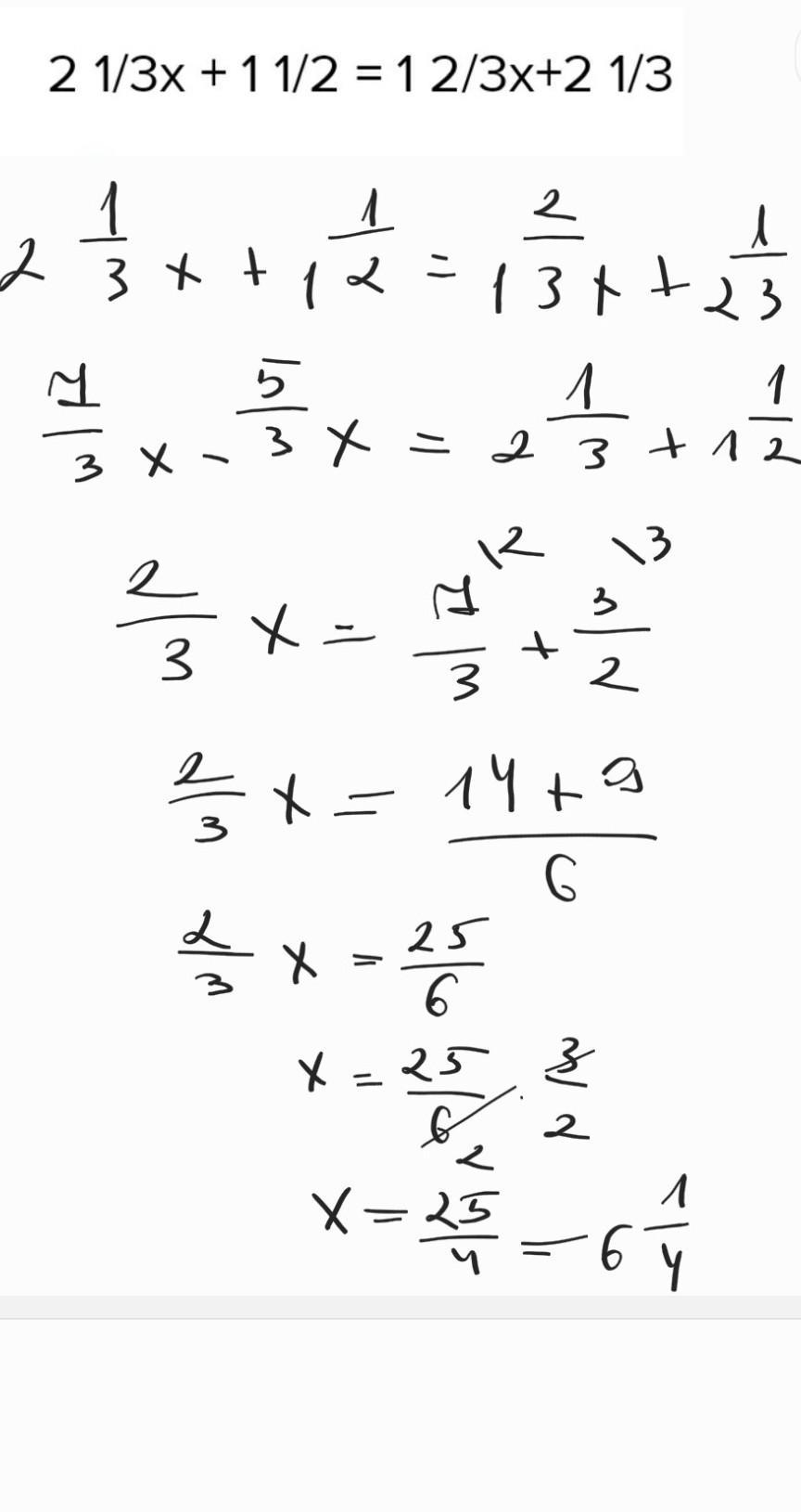
2 1/3х + 1 1/2 = 1 2/3х+2 1/3 помогите решить ​

Ответы

Ответ дал: alinsheremet
1

Пошаговое объяснение:

...................................

Приложения:
Ответ дал: Юлиич
1

Ответ:

х=1,25

Пошаговое объяснение:

2\frac{1}{3}х+1\frac{1}{2}=1\frac{2}{3}х+2\frac{1}{3}

2\frac{1}{3}х-1\frac{2}{3}х=2\frac{1}{3}-1\frac{1}{2}

\frac{7}{3}х-\frac{5}{3}х=\frac{7}{3}-\frac{3}{2}

\frac{2}{3}х=\frac{14}{6}-\frac{9}{6}

\frac{2}{3}х=\frac{5}{6}

х=\frac{5}{6}:\frac{2}{3}

х=\frac{5}{6}*\frac{3}{2}

х=\frac{5}{4}

х=1,25

Вас заинтересует