• Предмет: Алгебра
  • Автор: namdjunvara
  • Вопрос задан 3 года назад

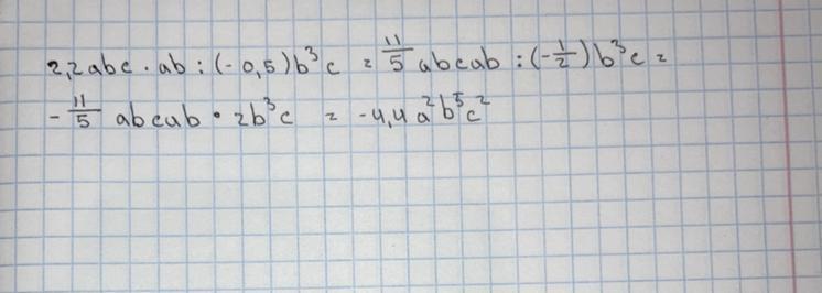
ите одночлен:
2,2abc. ab :(-0,5)b³c​

Ответы

Ответ дал: togepitic
0
держи, должно быть правильно
Приложения:
Вас заинтересует