• Предмет: Алгебра
  • Автор: sonld
  • Вопрос задан 3 года назад

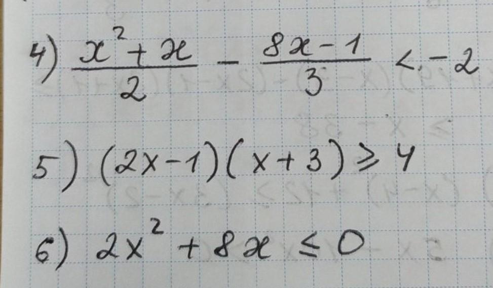
решите пожалуйста, алгебра 9 класс​

Приложения:

Ответы

Ответ дал: bubnowden
1

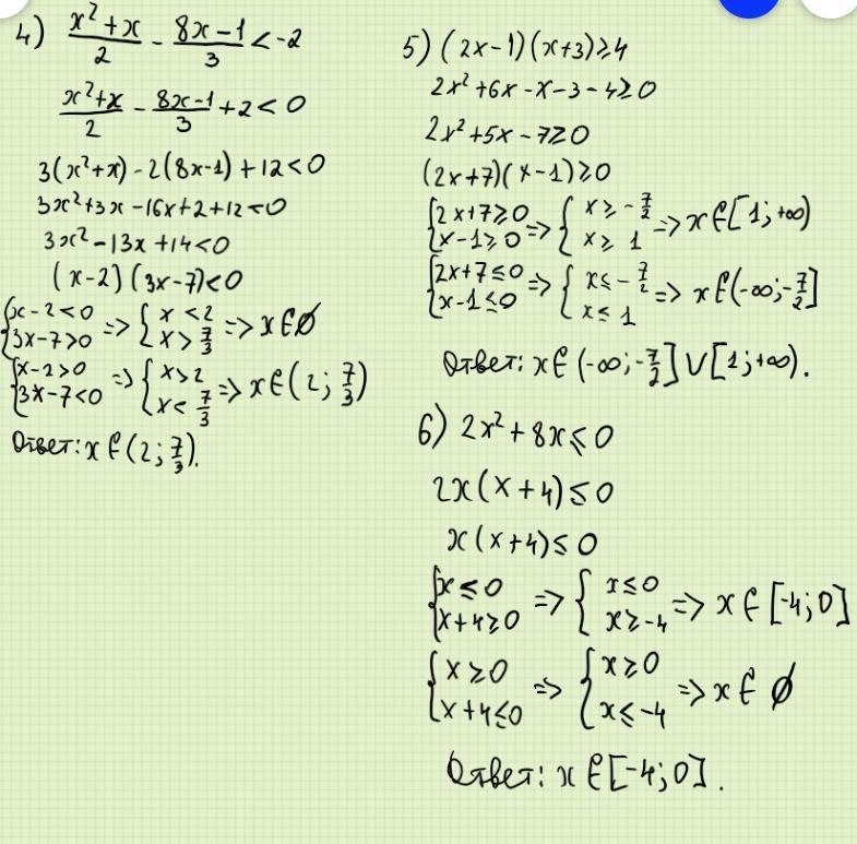
Смотри прикреплённые фото.

Приложения:
Ответ дал: Palvanov
1

Ответ:

решение на скрине

Объяснение:

Приложения:
Вас заинтересует