• Предмет: Математика
  • Автор: ursadota
  • Вопрос задан 3 года назад

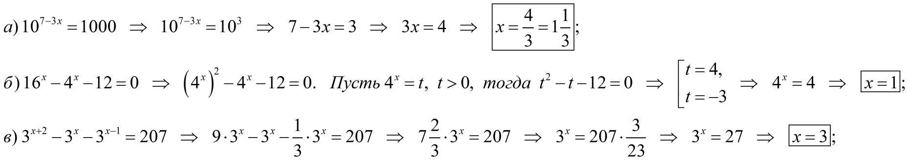
Помогите решить показательные уравнения

Приложения:

Ответы

Ответ дал: andrukhnikita
1

Ответ:

Пошаговое объяснение:

Приложения:
Вас заинтересует