Ответы
Ответ дал:
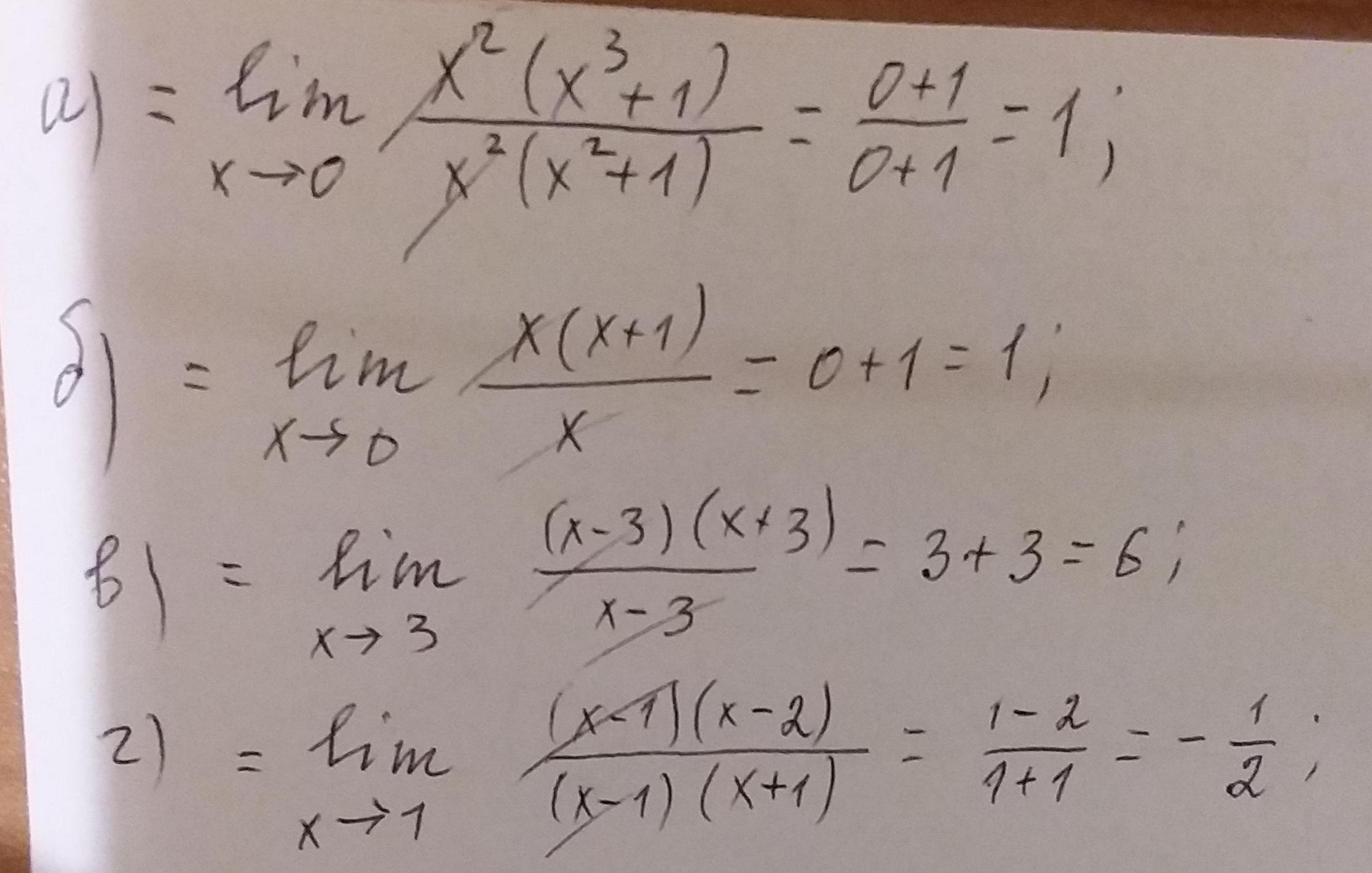
1
Ответ:
Объяснение:
_--_-_-__-_--_-_-_--_-_-_-_-
Приложения:

Вас заинтересует
2 года назад
2 года назад
2 года назад
8 лет назад