Ответы
Ответ дал:
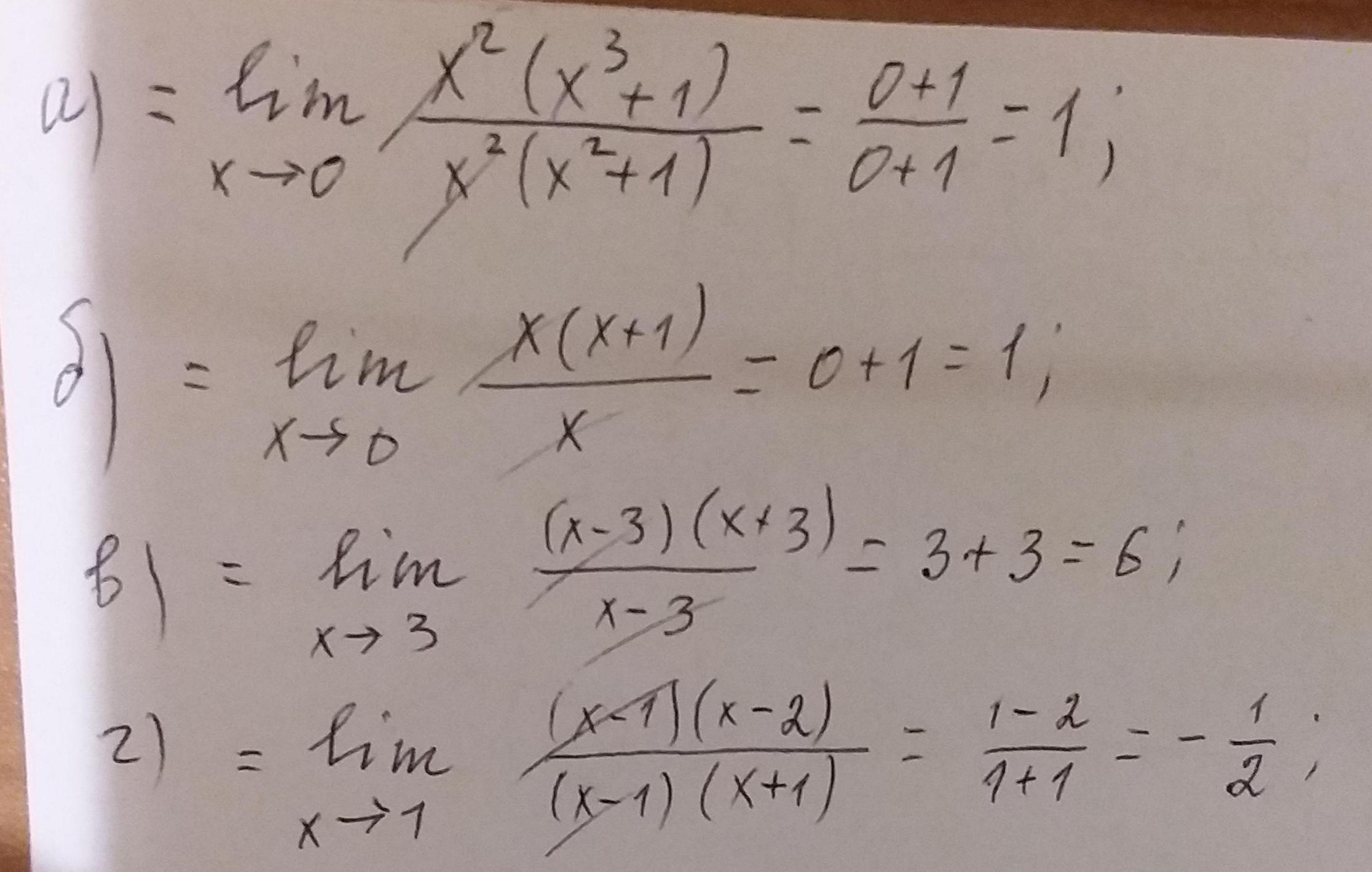
1
Ответ:
Объяснение:
-_-_-_-_-_-_-_--_-_-_-_-
Приложения:
Вас заинтересует
2 года назад
3 года назад
3 года назад
8 лет назад
8 лет назад
10 лет назад
10 лет назад