• Предмет: Алгебра
  • Автор: sofiamyasnikova03
  • Вопрос задан 3 года назад

срочно пожалуйста помогите​

Приложения:

Ответы

Ответ дал: Zombynella
0

Ответ:

В решении.

Объяснение:

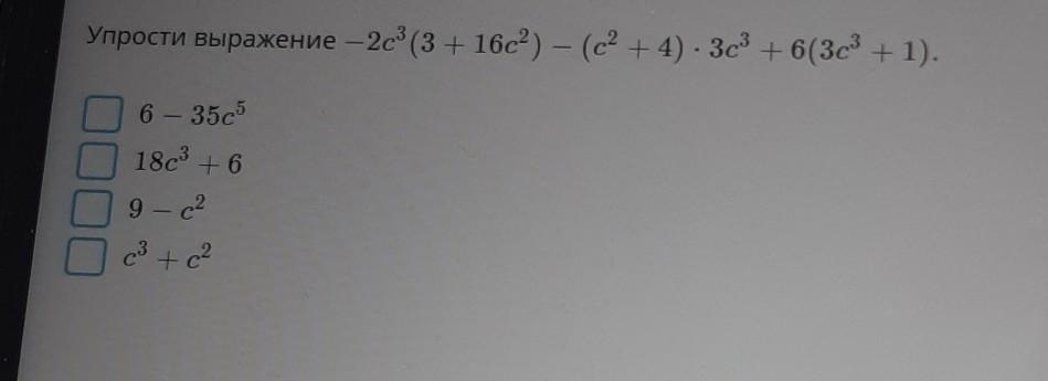
-2с³ * (3 + 16с²) - (с² + 4) * 3с³ + 6 * (3с³ + 1) =

= -6с³ - 32с⁵ - 3с⁵ - 12с³ + 18с³ + 6 =

= - 35с⁵ + 6 =

= 6 - 35с⁵.

Первый ответ верный.

Вас заинтересует