• Предмет: Математика
  • Автор: ggNice777
  • Вопрос задан 3 года назад

Даю 20б............... ​

Приложения:

Ответы

Ответ дал: majian
1

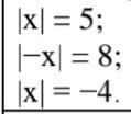
Ответ:

|X|=5

X1 =5

X2=-5

|-x|=8

|x|=8

X1 =8

X2 =-8

|x|=-4

НЕТ РЕШЕНИЙ

Вас заинтересует