• Предмет: Математика
  • Автор: Bossoni
  • Вопрос задан 3 года назад

СРОЧНО ХЕЛПАНИТЕ БРАТЬЯ И СЕСТРЫ!!!!!!!!

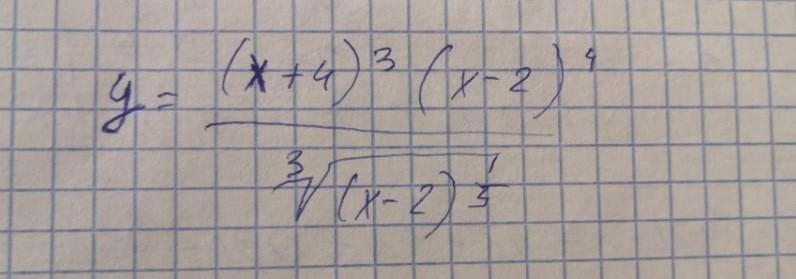
Приложения:

pushpull: и что хелпать?
Bossoni: Емае
Bossoni: Решить производную)

Ответы

Ответ дал: pushpull
0

Ответ:

Пошаговое объяснение:

сразу разберемся с (х-2)

чисто в знаменателе

\displaystyle \sqrt[3]{(x-2)^{1/5}}= (x-2)^\displaystyle {\frac{1}{3} *\frac{1}{5}}}=(x-2)^{\displaystyle \frac{1}{15} }

теперь числитель поделим на знаменатель

\displaystyle \frac{(x-2)^4}{(x-2)^{1/15 }} = (x-2)^{3-1/15}= (x-2)^{ \displaystyle2\frac{14}{15}}

теперь у нас производная произведения (uv)' = u'v + uv'

((x+4)^{\displaystyle 3} (x-2)^{ \displaystyle 2 \frac{14}{15}  })' =((x+4)^{\displaystyle 3})'(x-2)^{   \displaystyle 2\frac{14}{15}  }+(x+4)^{\displaystyle3}((x-2)^{ \displaystyle 2 \frac{14}{15}  })'=\\\\3(x+4)^{\displaystyle 2}(x-2)^{ \displaystyle2 \frac{14}{15}  }+(x+4)^{\displaystyle 3}(*\displaystyle 2\frac{14}{15}) (x-2)^{\displaystyle 1\frac{14}{15}

Вас заинтересует