• Предмет: Алгебра
  • Автор: Mike7630
  • Вопрос задан 3 года назад

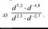
помогите пожалуйста решить

Приложения:

Ответы

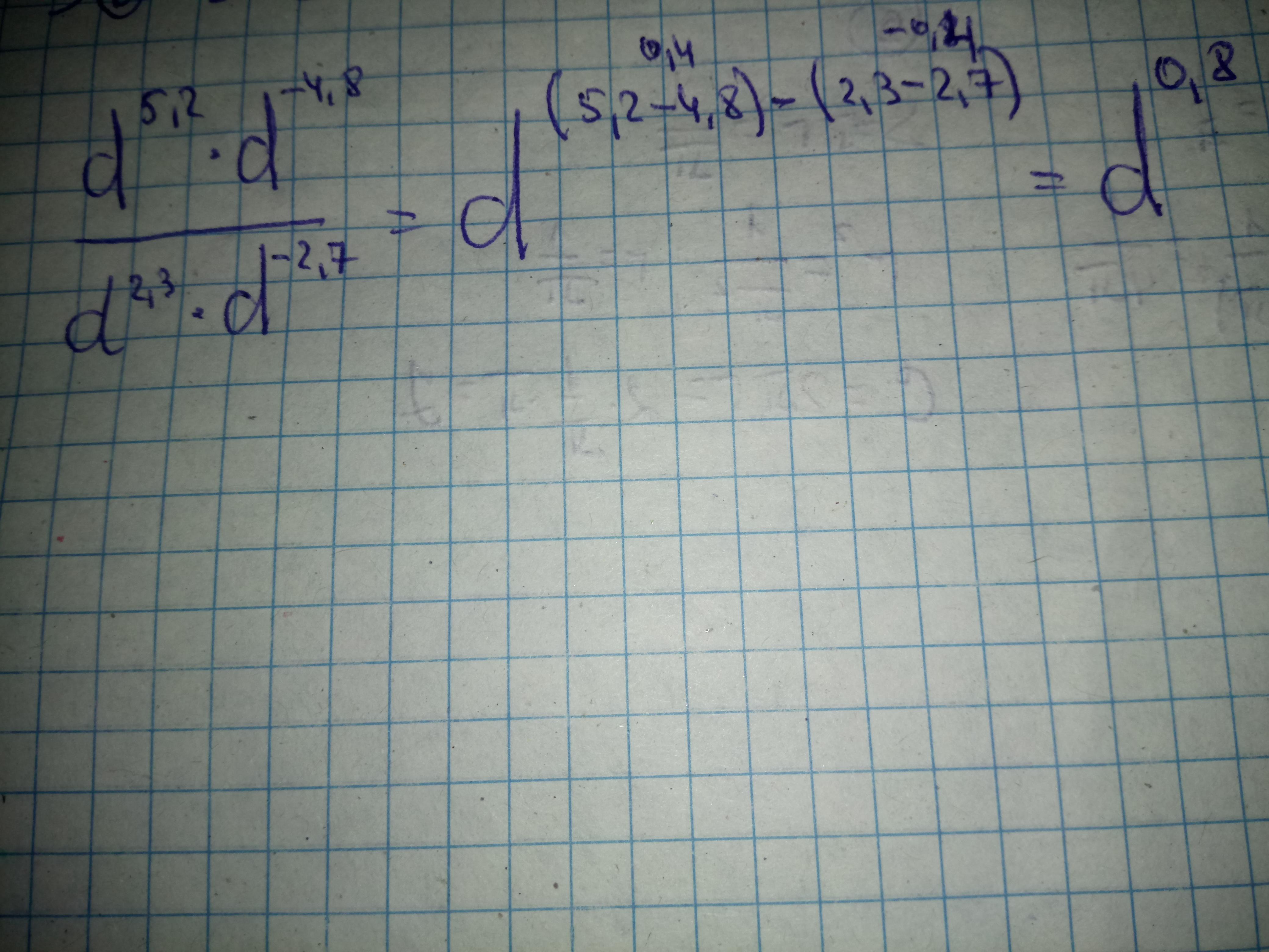
Ответ дал: Аноним
1

Решение задания прилагаю

Приложения:
Вас заинтересует