Ответы
Ответ дал:
0
Решать по свойству пропорций)
Приложения:


Ответ дал:
0
Необходимо открыть скобки!!! Умножить число за скобками на каждое число в скобке.
А) 59х-8968=6018
59х=6018+8968
59х=14986
х=254
В и Г по аналогии!!!
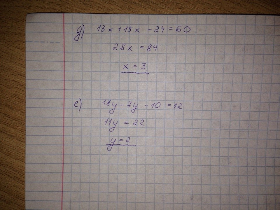
Д) 28х - 24=60
28х=60+24
28х=84
х=3
Е по аналогии!!!
А) 59х-8968=6018
59х=6018+8968
59х=14986
х=254
В и Г по аналогии!!!
Д) 28х - 24=60
28х=60+24
28х=84
х=3
Е по аналогии!!!
Приложения:


Вас заинтересует
2 года назад
2 года назад
8 лет назад
8 лет назад
10 лет назад
10 лет назад
10 лет назад