• Предмет: Алгебра
  • Автор: codestergame
  • Вопрос задан 3 года назад

Помогите с 23.Вроде решил но с ответом не сходится

Приложения:

kanmmu: Так вроде устная задача... 68

Ответы

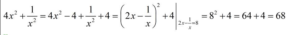
Ответ дал: Kari441
0

Ответ:

68

Объяснение:

(2x-1/x)²=8²

4x²-2*2x*1/x+1/x²=64

4x²-4+1/x²=64

4x²+1/x²=64+4

4x²+1/x²=68

Ответ дал: palilov243659
0

Ответ:

68

Объяснение:

///////////////////////////////////////////////////

Приложения:
Вас заинтересует