• Предмет: Алгебра
  • Автор: soophiaa
  • Вопрос задан 3 года назад

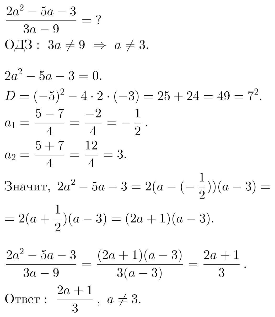
Помогите пожалуйста! Решите на листочке

Приложения:

Ответы

Ответ дал: Kierra
1

~~~~~~~~~~~~~~~~~~~~

Приложения:

soophiaa: =0
soophiaa: Потом применить виетта или дискриминант
Kierra: Никогда так не делали.
Kierra: Это понятно, что а не равняется трем
soophiaa: А потом разложить квадратный трехчлен на множители
Kierra: Но это и не нужно для решения
kanmmu: Понятно, но не написано. Это ошибка. Исправьте.
soophiaa: Ага спасибо
Kierra: Только ради Вас.
kanmmu: Благодарю.
Вас заинтересует