• Предмет: Алгебра
  • Автор: so526462
  • Вопрос задан 3 года назад

Помогите пожалуйста с алгеброй!!!!!! Очень надо!!!!!!! Номер 32.1 (1)​

Приложения:

Ответы

Ответ дал: Kierra
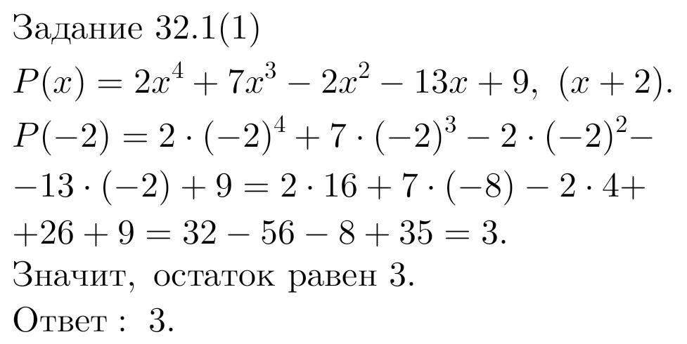
1

~~~~~~~~~~~~~~~~~~~~

Приложения:
Вас заинтересует