• Предмет: Алгебра
  • Автор: anastasiaaa2095
  • Вопрос задан 3 года назад

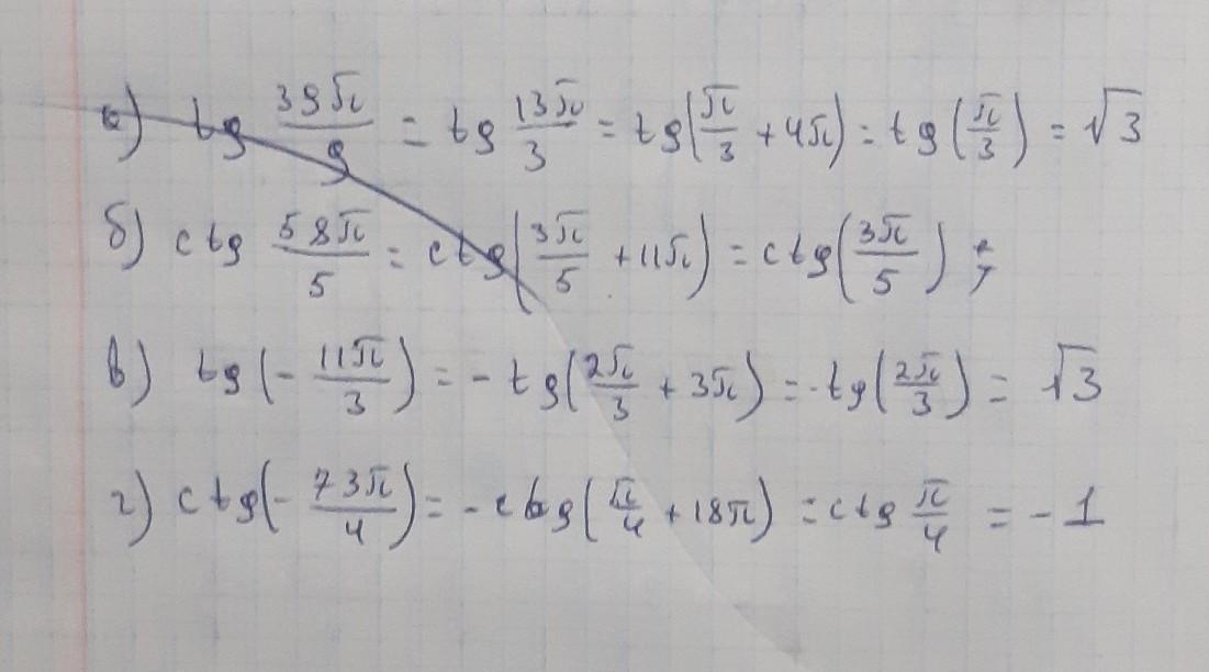
Используя периодичность тригонометрических функций, найдите значения выражения.
Даю много баллов, помогите.​

Приложения:

Ответы

Ответ дал: Аноним
2

Ответ:

решение на фотографии

Приложения:
Вас заинтересует