• Предмет: Математика
  • Автор: skvorgrand
  • Вопрос задан 3 года назад

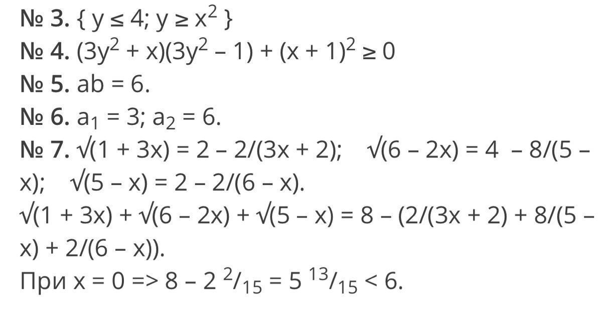
Кто решит всю работу дам 100 баллов!

Приложения:

Ответы

Ответ дал: anahit465
1
Сейчас скажу ответы на 1 и 2
Приложения:

anahit465: У меня есть ответ на 1 и 2 но я не мигу прислать фото . Что делать ?
anahit465: https://всеконтрольные.рф/kr-4-neravenstva-s-dvumja-peremennymi-algebra-9-ugl/
anahit465: Короче там есть ответы
anahit465: На все ваши контрольные по алгебре
anahit465: Помогла?
Ответ дал: aseidaly
0

Ответ:

Пошаговое объяснение:

Приложения:
Вас заинтересует