• Предмет: Геометрия
  • Автор: Gorqa
  • Вопрос задан 11 лет назад

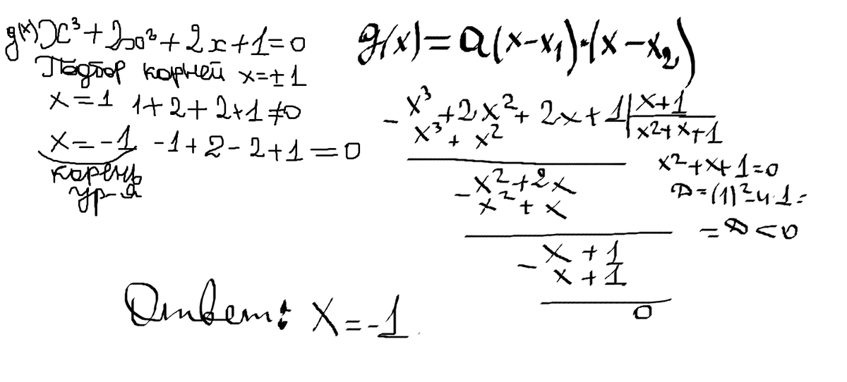
Найти все вещественные корни многочлена g(x)

Приложения:

Ответы

Ответ дал: Аноним
0
Решение во вложении.
Я думаю так)
Приложения:
Ответ дал: Maksim2009rus
0
Решение во вложениях. 
Приложения:
Вас заинтересует