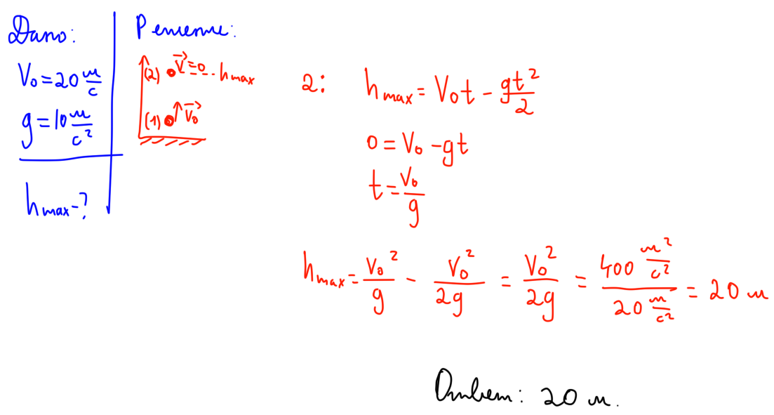
Стрела выпущена из лука вертикально вверх со скоростью 20 м/с.Рассчитайте максимальную высоту подъема стрелы.
Ответы
Ответ дал:
0
Решение на картинке.
Приложения:
Вас заинтересует
3 года назад
3 года назад
8 лет назад
8 лет назад
11 лет назад
11 лет назад
11 лет назад