• Предмет: Алгебра
  • Автор: iit412505
  • Вопрос задан 3 года назад

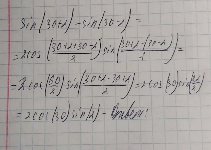
sin(30+a)-sin(30-a) пожалуйста помогите решить

Ответы

Ответ дал: aag2109i
3

Ответ:

Ответ смотри во вложении

Приложения:
Вас заинтересует