Помогите плееез там нужно задачи две сделать по рисункам
в течение 30 минн
Приложения:

Аноним:
Только что решила.
Ответы
Ответ дал:
0
Ответ:
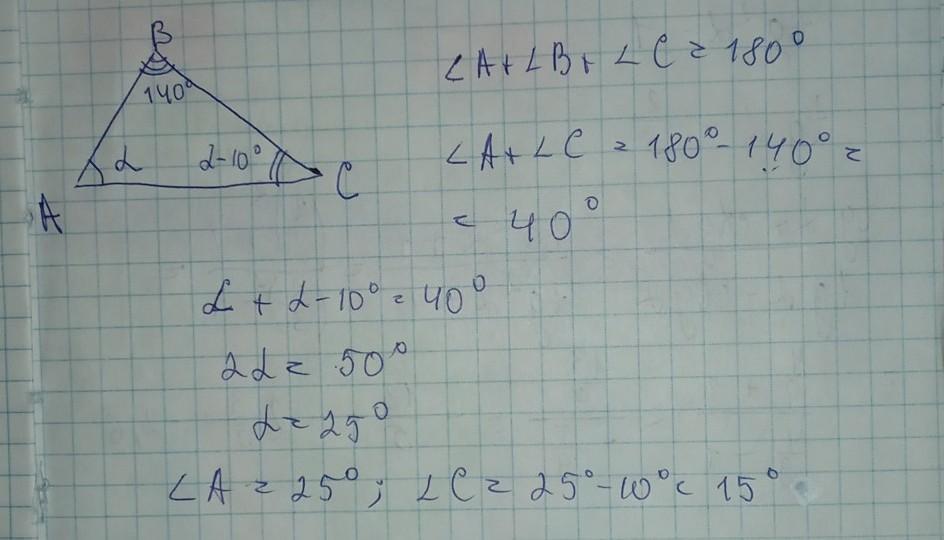
1.∠A=25°
∠C=15°
2. ∠BCK=150°
Объяснение:
решение на фото
Приложения:


Вас заинтересует
2 года назад
2 года назад
2 года назад
2 года назад
8 лет назад
8 лет назад
9 лет назад