• Предмет: Физика
  • Автор: Damn666
  • Вопрос задан 10 лет назад

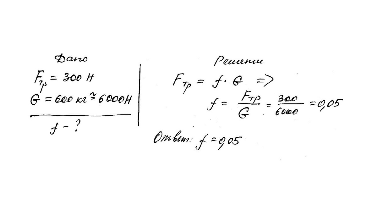
каков коэффициент трения колес о дорогу, если на автомобиль массой 600 кг действует сила трения 300 Н. решите так
дано:                                            решение:



неизвестно:                                  ответ:

Ответы

Ответ дал: Vladislav006
0
Решение представлено ниже ========
Приложения:
Вас заинтересует