• Предмет: Химия
  • Автор: andreevnazinaida68
  • Вопрос задан 3 года назад

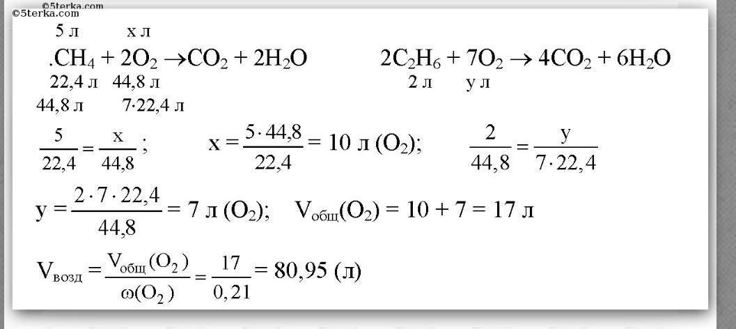
Какой объем воздуха (н.у.) потребуется для сжигания смеси, состоящей из 12 л циклопропана и 6 л циклобутана? Объёмная доля кислорода в воздухе составляет 21%​

Ответы

Ответ дал: dianaabiltarova9
0

Объяснение:

незнаю правильно или нет

Приложения:
Вас заинтересует