• Предмет: Алгебра
  • Автор: Rimaks
  • Вопрос задан 3 года назад

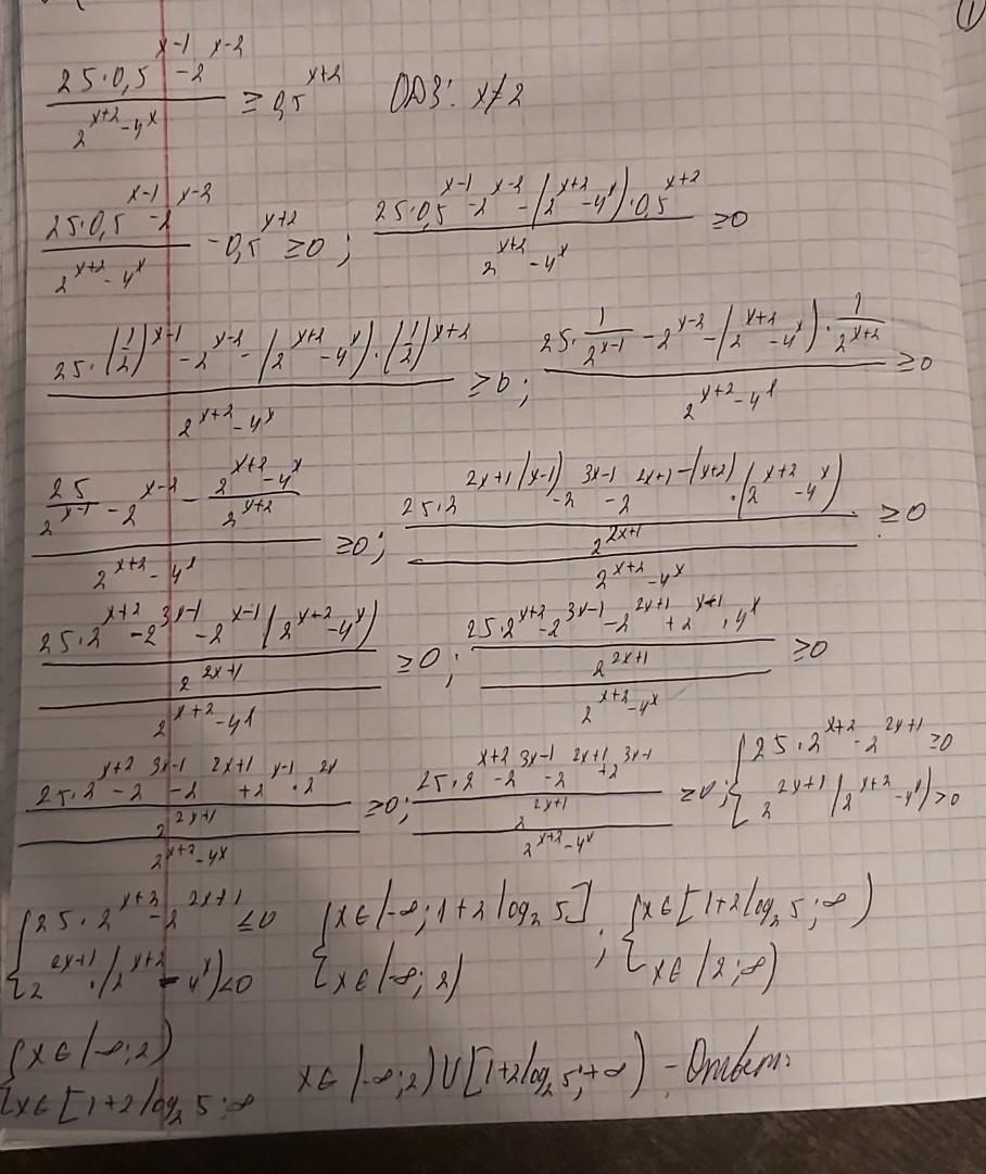
Решите неравенство пожалуйста с полным решением

Приложения:

Ответы

Ответ дал: aag2109i
1

Ответ:

Ответ смотри во вложении

Приложения:
Вас заинтересует