• Предмет: Алгебра
  • Автор: dbdbbfb55555
  • Вопрос задан 3 года назад

Ребятааааа помогитеее с полным решением!!!

Приложения:

Ответы

Ответ дал: parus77
1

Ответ:

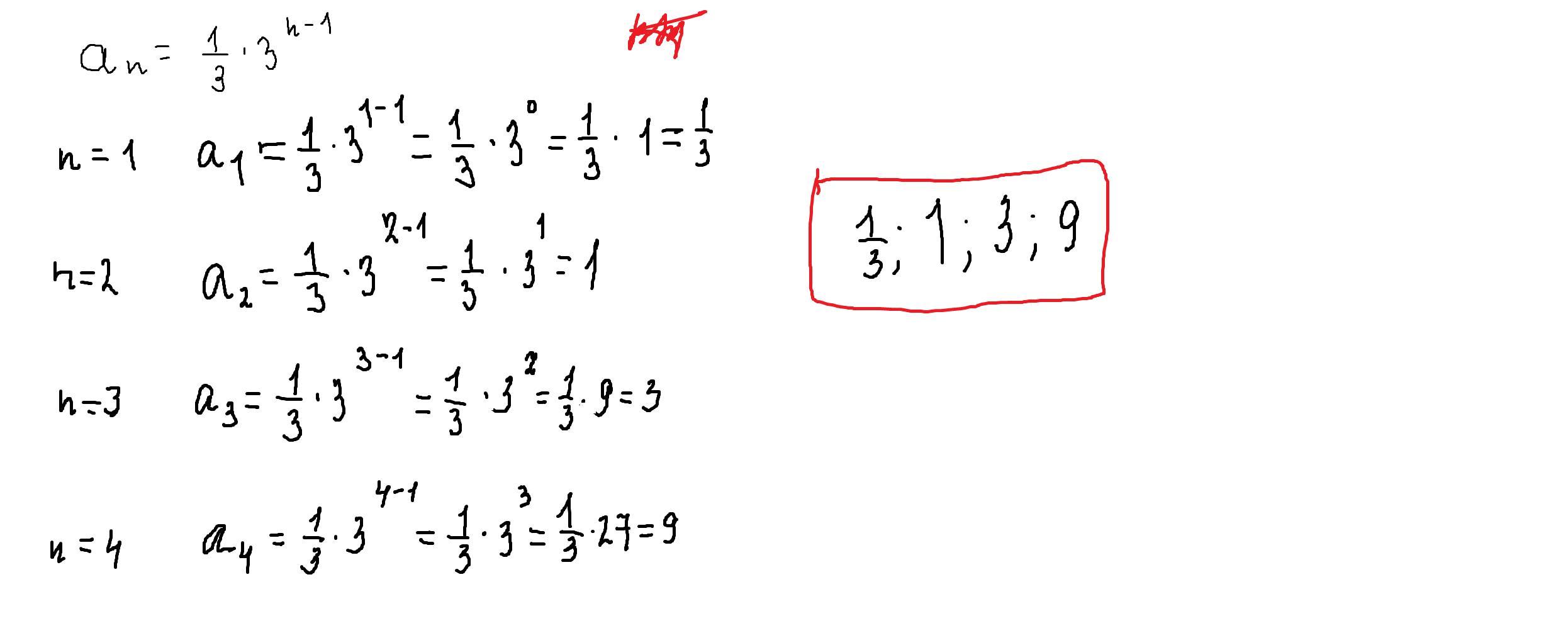
Г) 1\3;1;3;9

Объяснение:

решение внизу

вместо n в формулу подставляем поочередно числа от 1 до 4,потому что надо найти ЧЕТЫРЕ первых члена этой последовательности

Приложения:
Вас заинтересует