• Предмет: Алгебра
  • Автор: kateshash12
  • Вопрос задан 11 лет назад

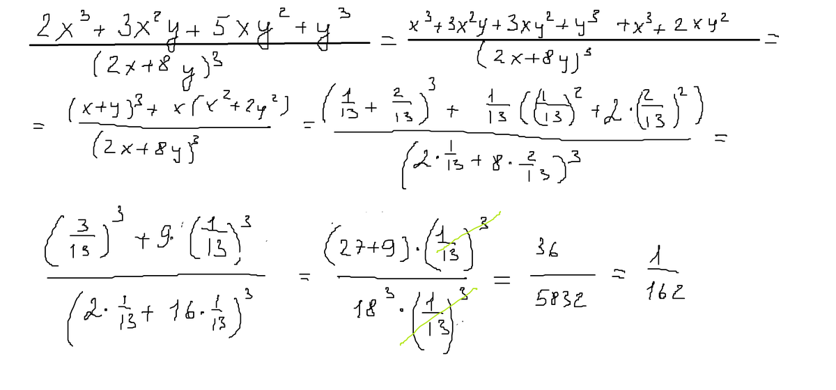
Найдите значение дроби:
 frac{ 2x ^{3} +3x ^{2}y+5xy^{2} +y^{3}} {(2x+8y) ^{3} }                  при x= frac{1}{13}      y= frac{2}{13}

Ответы

Ответ дал: esmilya
0
решение в прикрепленном файле
Приложения:
Вас заинтересует