• Предмет: Математика
  • Автор: lee0
  • Вопрос задан 3 года назад

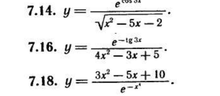
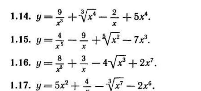
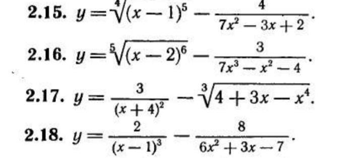
здравствуйте, помогите пожалуйста решить задания под номерами 7.16, 1.16, 2.16

Приложения:

Ответы

Ответ дал: Miroslava227
1

Ответ:

1.16

y =  \frac{8}{ {x}^{3} }  +  \frac{3}{x}  - 4 \sqrt{ {x}^{3} }  + 2 {x}^{7}  =  \\  = 8 {x}^{ - 3}  + 3 {x}^{ - 1}  - 4 {x}^{ \frac{3}{2} }  + 2 {x}^{7}

y' = 8 \times ( - 3) {x}^{ - 4}  - 3 {x}^{ - 2}  - 4 \times  \frac{3}{2}  {x}^{ \frac{1}{2} }  + 14 {x}^{6}  =  \\  =  -  \frac{24}{ {x}^{4} }  -  \frac{3}{ {x}^{2} }  - 6 \sqrt{x}  + 14 {x}^{6}

2.16

y =  \sqrt[5]{ {(x - 2)}^{6} }  -  \frac{3}{7 {x}^{3}  -  {x}^{2}  - 4}  =  \\  =  {(x - 2)}^{ \frac{6}{5} }  - 3 {(7 {x}^{3}  -  {x}^{2} - 4) }^{ - 1}

y' =  \frac{6}{5}  {(x - 2)}^{ \frac{1}{5} }  \times (x - 2)' - 3 \times ( - 1) {(7 {x}^{3}  -  {x}^{2}  - 4)}^{ - 2}  \times (7 {x}^{3}  -  {x}^{2}  - 4) '=  \\  =  \frac{6}{5}  \sqrt[5]{x - 2}  +  \frac{3(21 {x}^{2} - 2x) }{ {(7 {x}^{3}  -  {x}^{2} - 4) }^{2} }

7.16

y =  \frac{  {e}^{ - tg3x}}{4 {x}^{2}  - 3x + 5}  \\

y' =  \frac{( {e}^{ - tg3x} )' \times (4 {x}^{2} - 3x + 5) - (4 {x}^{2}  - 3x + 5)' {e}^{ - tg3x}  }{ {(4 {x}^{2} - 3x + 5) }^{2} }  =  \\  =  \frac{ {e}^{ - tg3x}  \times ( - tg3x)' \times (3x)' \times (4 {x}^{2}  - 3 x + 5) - (8x - 3) {e}^{ - tg3x} }{ {(4 {x}^{2}  - 3x + 5)}^{2} }  =  \\  =  \frac{ {e}^{ - tg3x}(  - \frac{3(4 {x}^{2} - 3x + 5) }{ { \cos}^{2}(3x) }   - (8x - 3))}{  {(4 {x}^{2} - 3x + 5) }^{2} }  =  \\  =  -  \frac{ {e}^{ - tg3x} }{ {(4 {x}^{2} - 3x + 5) }^{2} } \times  ( \frac{12 {x}^{2} - 9x + 15 }{ { \cos }^{2} (3x)}  + 8x - 3)

Вас заинтересует