Ответы
Ответ дал:
0
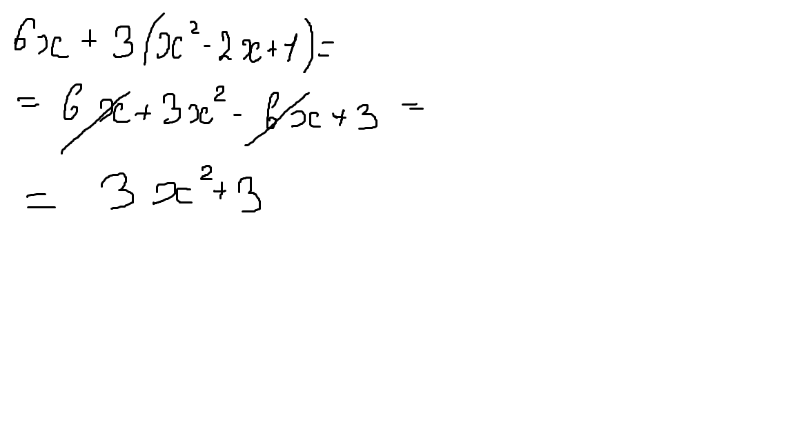
получится вот так :)
Приложения:

Ответ дал:
0
подтверждаю!
Ответ дал:
0
:)
Вас заинтересует
2 года назад
8 лет назад
8 лет назад
10 лет назад
10 лет назад
10 лет назад